logo-locauxrama

Bureaux à Vendre de 230m² à Juvignac - Réf. 34.0774

Présenté par SMILE RES

573.721€ HT

Touchez l'image pour voir tous les visuels

Description

Immeuble Neuf

Possibilité de vendre des petites surfaces

Programme de standing

Emplacement stratégique à la visibilité exceptionnelle le long de l'A75

Accès direct à l'échangeur de Juvignac Nord

Immeuble Prime à taille humaine

Très belles prestations

Peinture non comprise

Parkings extérieurs

Prix parking : 7000 Euros HT


DPE En cours

Les informations sur les risques auxquels ce bien est exposé sont disponibles sur le site Géorisques : www.georisques.gouv.fr

Informations financières

  • Prix de vente :

  • Honoraires :

  • 573.721 Euros HT

  • 3 % HT à la charge de l'acquéreur

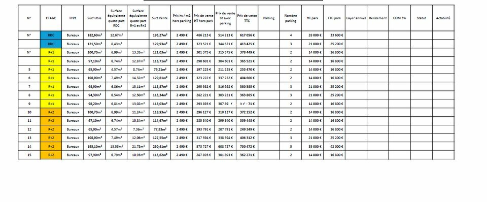
Surfaces proposées

Surface totale de 230 m²

Accès routiers

A9 à 5 minutes
Accès direct à l'A75

Consommation énergétique

DPE : En cours de réalisation.

Offres similaires

De 90 m² à 2000 m² - Dispo. Livraison T2 2026

BUREAUX

34990, JUVIGNAC

34_002020

Surface totale 117 m² - Dispo. mi 2026

BUREAUX

34990, JUVIGNAC

34_0772

De 113 m² à 810 m² - Dispo. 4ème trimestre 2025

BUREAUX

34990, JUVIGNAC

34_0030